英文名稱(chēng):Fluoro-N,N,N',N'-tetramethylformamidinium hexafluorophosphate
分子式:C5H12F7N2P
分子量:264.12
英文名稱(chēng):N-Methyl-N-propylpiperidinium bis(trifluoromethanesulfonyl)amide
分子式:C11H20F6N2O4S2
分子量:422.41
英文名稱(chēng):Bis(trifluoromethylsulfonyl)azanide;1-butyl-1-methylpiperidin-1-ium
分子式:C12H22F6N2O4S2
分子量:436.434502124786
英文名稱(chēng):1-n-Butyl-1-methylpyrrolidinium bis(trifluoromethylsulfonyl)imide
分子式:C11H20F6N2O4S2
分子量:422.407921791077
英文名稱(chēng):Tributylethylphosphonium bromide
分子式:C14H32BrP
分子量:311.281644821167
英文名稱(chēng):Phosphonium, tributylhexyl-, bromide
分子式:C18H40BrP
分子量:367.387966156006
英文名稱(chēng):Ethyltributylphosphonium bis(trifluoromethyl sulfonyl)imide
分子式:C16H32F6NO4PS2
分子量:511.52
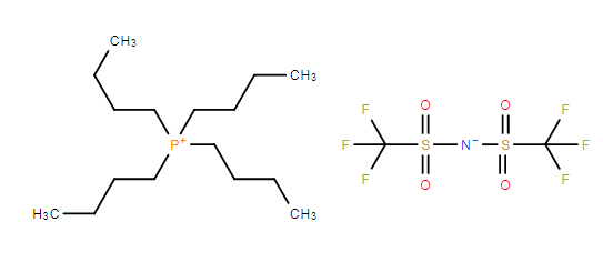
英文名稱(chēng):Tetrabutylphosphonium bis(trifluoromethyl sulfonyl)imide
分子式:C18H36F6NO4PS2
分子量:539.58